Although the dynamical systems which we are simulating are usually in more than one dimension we can, without loss, restrict our numercal anlaysis of the methods to the single non-autonomous differential equation
![]()
subject to the initial condition
.
We shall usually refer to the differential equation together with the initial
condition as an initial value problem (IVP). Discrete variable methods
yield a series of approximations
![]()
on the set of points
![]()
where h is the stepsize.
Taylor Series Method
These methods are based on the Taylor series expansion
![]()
If the series is truncated and
is replaced by the approximation
we obtain the Taylor Series Method of order p
![]()
where
.
Although there is an implementation of this method in Maple it is not much used in practice due to the necessity of computing the higher order derivatives of X. We shall only use it as a reference method when discussing the accuracy of other methods.
Runge-Kutta Methods
These methods are based on the notion of finding a formula which agrees with the Taylor series as closely as possible without involving derivatives. For example consider the possibility of matching the second order Taylor series method
![]()
by using a formula of the form
![]()
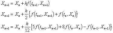
Two of the more popular methods are the improved Euler method
![]()
the modified Euler method
![]()
The procedure above can be extended to give higher order methods such as the classical 4th order method

Linear Multistep Methods
These methods are based on integration of an interpolating polynomial
having the values
on a set of points
at which
has already been computed. By integrating
![]()
over the interval
we obtain
![]()
Using various approximations ro the integral gives rise to the different methods. For example using linear interpolation we obtain the Trapezoidal method
![]()
The general form of these methods is
![]()
where
and
are
constants,
.
This formula is called a linear k-step method. In order to generate
the sequence of approximations
it is first necessary to obtain k starting values
.
If
the
method is explicit. If
then the method is implicit and leads to a non-linear equation for
.
The main methods of this type which we shall consider are:
Adams-Bashforth
These methods are explicit with methods of order k being k-step. Methods of order from one to three have the formulae

The first order method is more normally called the Euler method.
Adams-Moulton
These methods are implicit with methods of order k being
-step.
Methods of order from one to three have the formulae

The first order method is called the backward Euler formula and the second order method is the Trapezoidal method.
Gear Methods
These methods are implicit with methods of order k being k-step. Methods of order from one to three have the formulae

The first order method is again the backward Euler formula.